静电场描绘实验报告(模拟法测静电场)

模拟法测静电场
【实验目的】
1.学习用模拟法测绘静电场的原理和方法。
2.加深对电场强度和电位要领的理解。
3.用作图法处理数据。
【实验仪器】
静电场描绘仪、静电场描绘仪信号源、导线、数字电压表、电极、同步探针、坐标纸等。
【实验原理】
在一些科学研究和生产实践中,往往需要了解带电体周围静电场的分布情况。一般来说带电体的形状比较复杂,很难用理论方法进行计算。用实验手段直接研究或测绘静电场通常也很困难。因为仪表(或其探测头)放入静电场,总要使被测场原有分布状态发生畸变;除静电式仪表之外的一般磁电式仪表是不能用于静电场的直接测量,因为静电场中不会有电流流过,对这些仪表不起作用。所以,人们常用“模拟法”间接测绘静电场分布。
1、模拟的理论依据
模拟法在科学实验中有极广泛的应用,其本质上是用一种易于实现、便于测量的物理状态或过程的研究,以代替不易实现、不便测量的状态或过程的研究。
为了克服直接测量静电场的困难,我们可以仿造一个与静电场分布完全一样的电流场,用容易直接测量的电流场模拟静电场。
静电场与稳恒电流场本是两种不同场,但是它们两者之间在一定条件下具有相似的空间分布,即两场遵守的规律在形式上相似。它们都可以引入电位U,而且电场强度E=-△U/△l;它们都遵守高斯定理:对静电场,电场强度在无源区域内满足以下积分关系
∮E·ds = 0 ∮E·d l = 0
对于稳恒电流场,电流密度矢量J在无源区域内也满足类似的积分关系
∮J·ds = 0 ∮J·d l = 0
由此可见,E和J在各自区域中满足同样的数学规律。若稳恒电流空间均匀充满了电导率为σ的不良导体,不良导体内的电场强度E′与电流密度矢量J之间遵循欧姆定律
J=σE′
因而,E和E′在各自的区域中也满足同样的数学规律。在相同边界条件下,由电动力学的理论可以严格证明:像这样具有相同边界条件的相同方程,其解也相同。因此,我们可以用稳恒电流场来模拟静电场。也就是说静电场的电力线和等势线与稳恒电流场的电流密度矢量和等位线具有相似线的分布,所以测定出稳恒电流场的电位分布也就求得了与它相似的静电场的电场分布。
2、模拟条件
模拟方法的使用有一定条件和范围,不能随意推广,否则将会得到荒谬的结论。用稳流电场模拟静电场的条件可归纳为几点:
(1)稳流场中电极形状应与被模拟的静电场的带电体几何形状相同。
(2)稳流场中的导电介质应是不良导体且电阻率分布均匀,并满足σ电极≥σ导电质才能保证电流场中的电极(良导体)的表面也近似是一个等位面。
(3)模拟所用电极系统与被模拟电极系统的边界条件相同。
3、同轴圆柱形电缆的静电场
利用稳恒电流的电场和相应的静电场其空间形成一致性,则只要保证电极形状一定,电极电位不变,空间介质均匀,在任何一个考察点,均应有U稳恒=U静电,或E稳恒=E静电。下面

图 1
以同轴圆柱形电缆的“静电场”和相应的模拟场—“稳恒电流场”来讨论这种等效性。如图10(a)所示,在真空中有一半径a的长圆柱导体A和一个内径b的长圆筒导体B,它们同轴放置,分别带等量异号电荷。由高斯定理可知,在垂直于轴线上的任何一个截面S内,有均匀分布辐射状电力线,这是一个与坐标Z无关的二维场。在二维场中电场强度E正平行于xy平面,其等位面为一簇同轴圆柱面。因此,只需研究任一垂直横截面上的电场分布即可。
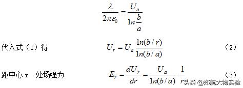
距轴心O半径为r处(图1(b))的各点电场强度为

式中λ为A(或B)的电荷线密度。其电位为

若r=b时,Ub = 0则有

其中A、B间不是真空,而是充满一种均匀的不良导体,且A和B分别与电流的正负极相连,见图2同轴电缆模拟电极间形成径向电流,建立一个稳恒电流场E’r。可以证明不良导体中的电场强度E’r与原真空中的静电场Er是相同的。
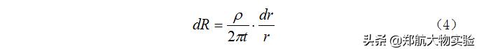
4、同轴圆柱形电级间的电流场
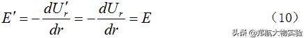
取厚为t的圆柱形同轴不良导体片来研究,材料的电阻率为ρ则半径r的圆周到半径为(r+dr)的圆周之间的不良导体薄块的电阻为

半径r到b之间的圆柱片电阻为

由此可知半径到之间圆柱片的电阻为



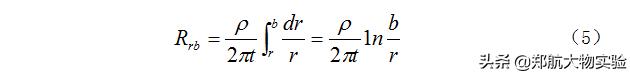
可见式(2)与式(8)具有相同形式,说明稳恒电流场与静电场的电位分布函数完全相同。即柱面之间的电位Ur与lnr均为直线关系。并且(Ur/Ud)相对电位仅是坐标的函数,与电场电位的绝对值无关。显而易见,稳恒电流的电场E′与静电场E的分布也是相同的。因为

实际上,并不是每种带电体的静电场及模拟场的电位分布函数都能计算出来,只有在σ分布均匀几种形状对称规则的特殊带电体的场分布才能用理论严格计算。上面只是通过一个特例,证明了用稳恒电流场模拟静电场的可行性。
5、电场的测绘方法
由(10)式可知,场强E在数值上等于电位梯度,方向指向电位降落的方向。考虑到E是矢量,U是标量,从实验测量来讲,测量电位比测定场强容易实现,所以可先测绘等位线,然后根据电力线与等位线正交原理,画出电力线。这样就可由等位线的间距,电力线的疏密和指向,将抽象的电场形象地反映出来。
静电场描绘仪(包括水槽、双层固定支架、同步探针等),如图3所示,支架采用双层式结构,上层放记录纸,下层放带电极水槽。并将电极引线接出到外接线柱上,电极间有电导率远小于电极且各向均匀的导电介质水。接通交流电源就可进行实验。在导电玻璃和记录纸上方各有一探针,通过金属探针臂把两探针固定在同一手柄座上,两探针始终保持在同一铅垂线上。移动手柄座时,可保证两探针的运动轨迹是一样的。由水槽上方的穿梭针找到待测点后,按一下记录纸上方的探针,在记录纸上留下一个对应的标记。移动同步探针在水槽中找出若干电位相同的点,由此即可描绘出等位线。

使用方法:
(1)接线
静电场测试仪信号源的输出接线柱与电极接线柱相连,将探针架放好,并使探针下探头置于放有电极的水槽中,开启开关,指示灯亮,有数字显示。电压表示值为电场中某点对负极的电压值。
(2)测量
调节静电场测试仪电源前面板上电压调节旋钮,将开关
打在电源电压上,电表显示所加的电压值,单位为伏特,一般调到10V,便于运算。然后将开关打在测量,横移动探针架,数显示表示值随着运动而变化,从而测出每条等位线上的几个电压相等的点。
(3)记录
在描绘架上铺平坐标纸,用螺钉夹住,当电压表显示读数认为需要记录时,轻轻按下记录纸上的探针并在坐标纸上,记录电压,为实验清楚快捷,每等位线不少于8个点,然后用光滑曲线连接即可。
【实验内容】
1、长直同轴圆柱面电极间的电位分布
(1)将电极水槽中加入适量的水,然后把它放在上层静电场描绘仪的下层;
(2)按图连接好电路,电压表及探针联合使用。
(3)把坐标纸放在静电场描绘仪的上层,并用四个螺钉夹好。
(4)调节静电场描绘仪的电源(大约10V)。
(5)移动探针座使探针在水中缓慢移动,用数字电压表测量电位差,找到等位点时按下坐标纸上的标记指针,做出标记。分别作出6V、5 V、4 V、3 V、2V的五条等位线,每条等位点不得少于8个。
(6)根据等位点描绘等位线,并标出每条等位线的电位。
(7)根据电力线和等位线垂直的提点,描绘被模拟空间中的电力线。
2、不规则电极间电位分布
(1)将水槽中的电极更换成两圆柱面型。
(2)重复内容一中的操作,分别作出8V、7 V、6V、5 V、4 V、3 V、2V的7条等位线。
【数据记录与处理】
1、同轴圆柱面型电极间电位分布
(1)根据等位点描绘被模拟空间中的等位线。
(2)根据电力线和等位线垂直的提点,画出被模拟空间中的电力线。
(3)测量每条电位线的半径计算对应的电位理论值,并与实验值比较计算相对误差,将数据填入以下表格。
表:Va= V, a= mm, b= mm

2、不规则电极间电位分布
(1)根据等位点描绘被模拟空间中的等位线。
(2)根据电力线和等位线垂直的提点,画出被模拟空间中的电力线。
注意:将图线粘贴在实验报告上
【思考题】
(1)用模拟法测的电位分布是否与静电场的电位分布一样?
(2)如果实验时电源电压有效值不稳定,那么是否会改变电力线和等位线的分布?为什么?
(3)试从你测绘的等位线和电力线分布图,分析何处电场强度较强,何处电场强度较弱。
【注意事项】
(1)水槽由有机玻璃制成的,实验时要轻拿轻放,以免破碎。
(2)水层厚度要保持一致,即水槽要水平放置,以保证导电介质的均匀性,且水不要过多也不要过少,水面要到达探针但不要淹没电极。
(3)电极、探针要和导线接触良好。
(4)实验完毕后,要将电极从水槽中拿出来放在毛巾上,以免电极生锈。并将仪器摆放整齐。


相关文章:




