什么叫斜率(直线的斜率和两直线平行与垂直的判定)

直线的倾斜角和斜率
当直线 ι 与 x 轴相交时,我们取 x 轴作为基准,x 轴正向与直线 ι 向上方向之间所成的角 α ( 0 ° ≤ α < 180 ° )叫做直线 ι 的倾斜角(直线的倾斜程度)。当直线 ι 与 x 轴平行或重合时,它的倾斜度为 0 ° 。

直线的倾斜角
直线上的一个定点和它的倾斜角确定平面直角坐标系中一条直线的位置。

坡度
一条直线的倾斜角 α 的正切值为此直线的斜率 ( κ ),即
κ = tan α (表示直线的倾斜程度)
倾斜角是 90 ° 的直线没有斜率。
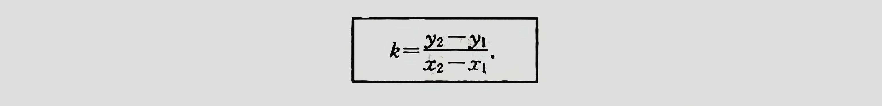
给定两点 P1(x1,y1),P2(x2,y2),x1 ≠ x2,求直线 P1P2 的斜率 κ 。
设直线 P1P2 的倾斜角为 α(α≠90°),过点 P1 作 x 轴的平行线,过点 P2 作 y 轴的平行线,两线相交于点 Q(x2,y1)

直线斜率的研究

直线斜率的计算
经过两点 P1 ( x1 ,x2) ,P2 ( x2 ,y2 )( x1≠ x2)的斜率公式 :

直线斜率公式

例题


例题
通过直线的斜率判定两直线的平行垂直

斜率判定两直线平行

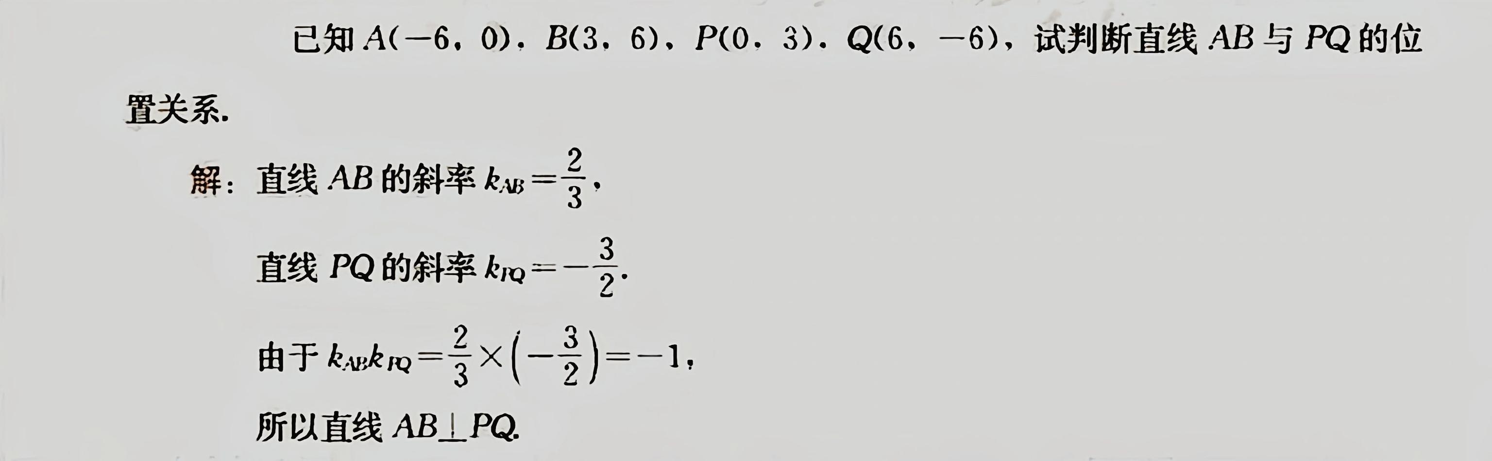
例题

例题

两直线垂直的判定

斜率判定两直线垂直

例题

例题
魔术师的地毯
一天,著名魔术大师秋先生拿了一块长和宽都是1.3米的地毯去找地毯匠敬师傅,要求把这块正方形的地毯改制成宽0.8米、长2.1米的矩形。敬师傅对秋先生说:“你这位鼎鼎大名的魔术师,难道连小学算术都没有学过吗?边长为1.3米的正方形面积为1.69平方米,而宽0.8米、长2.1米的矩形面积只有1.68平方米,两者并不相等啊!除非裁去0.01平方米,不然没法做。”秋先生拿出他事先画好的两张设计图,对敬师傅说:“你先照这张图(图①)的尺寸把地毯裁成四块,然后再照另一张图(图②)的样子把这四块拼在一起缝好就行了,魔术大师是从来不会出错的,你只管放心做吧!”敬师傅照着做了,缝好一量,果真是宽0.8米、长2.1米,魔术师拿着改好的地毯得意洋洋地走了,而敬师傅还在纳闷儿哩,这是怎么回事呢?那0.01平方米的地毯到什么地方去了呢?

① ②


相关文章:




