排列组合怎么算(排列组合基础知识点)

今天讲解一下排列组合,其实之前讲的关于概率分布的知识,都是基于排列组合这个基础的,所以有必要补充一下排列组合的知识。在这里强调一下,本头条号的目的是为同学们讲清楚知识的内涵,避免对知识的似懂非懂,所有的内容,都是自己对于知识理解领悟后的原创内容,绝对没有抄袭,正因为是讲解知识的内涵,所以不求长篇大论,只求说清楚为止,望大家理解。自己对这些知识领悟后,借此之地,给大家分享一下,为解决各位同学们面对知识点理解上的困惑提供绵薄之力的支持帮助,也希望大家在阅读我的知识点内涵的描述的过程中,体会到对知识的理解方法,这本身也是我想传递给大家的。下面开始讲解排列组合知识。
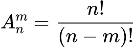
排列:n中取m个值做有序排列的可能性个数,记为:

组合:n中取m个值作为一组(不考虑顺序)的可能性个数,记为:

上述是对排列、组合的内涵的描述,两者都是从n中取m个数,取出来的数,排列有顺序要求,组合没有顺序要求,这就是排列、组合的核心区别。
上述就是排列组合的所有知识点了。但是在真正解题的时候,经常还是会犯懵,不知如何下手,核心在于没有掌握方法,围绕着排列组合问题,需要掌握以下方法:
,如果是组合问题,其可能数就是
。
或者
或者
。核心就是把每步骤的结果乘起来就是了。注意,这里分解每一步的时候,有可能某一步是排列问题,某一步是组合问题,这里重点关注这个步骤是否有顺序相关性即可。
第一种:平均分组
任务是对n进行平均分组,假设n=6,平均分三组,按第5步,结果是
,但是这里存在重复问题,所以要扣除掉重复部分的,重复次数是
,要扣除掉,所以正确的结果是
第二种:子元素顺序不变的排列
任务是对n进行全排列,其中要求某m个数必须连在一起顺序不变,那么排列数就是
。意思是先进行n全排列,然后扣除掉m个必须固定的全排列数。
例题:
道路中间需要种12棵树,园艺公司现有4棵不同的橄榄树、9棵不同的松树、2棵不同的榆树。问:
a、假设每种树都要求至少有两棵,购买12棵树,有多少种选择?
答:
1、先识别任务,任务就是购买12棵树
2、这个任务有几类方法呢?对于榆树,只有2棵,只有一种选法就是全选上。对于橄榄树,总共4棵,要求至少2棵,很显然是有三种选法可以完成选12棵的任务。这个任务是选择购买树,不存在排序,所以是组合问题,汇总列表如下:
橄榄树
榆树
剩下
汇总












基于上表,把几类方法的结果相加,就是最终的结果:

假设已经购买了4棵橄榄树、6棵松树、2棵榆树。问
b、要求同种树必须相邻在一起,有多少种种法?
答:
1、先识别任务,任务是把12棵树种上去,注意每棵树是不同的,所以这有顺序,是个排列问题。总共就12棵树,所以只有分步种,不存在分类种。
2、要求每种树必须相邻在一起,那么我们把橄榄树、松树、榆树看成一个整体,共3个数的排列,值就是
,任务还没完,还需要把每种树再排,各自排分别是
。把每步的结果相乘,就是最终的结果:

c、橄榄树要求不能相邻在一起,有多少种种法?
答:先识别任务,任务是把12棵树种上去,其中橄榄树要求不能相邻在一起,那么可以先把其余8棵树进行排列,共有
,第二步任务就是把4棵橄榄树不能相邻的排列,已经排好的共有8棵树,算上前后共9个间隔位置,问题就变成在9个位置中排放4棵橄榄树的可能数,很简单就是
,所以结果就是:
。


相关文章:




